学院动态

首页

首页 > 学院动态 > 正文

我校物理科学与技术学院王磊/李小平团队最新研究成果在国际著名期刊Nano Letters发表

来源: 发布时间:2025-10-11

 近日,我校物理科学与技术学院王磊研究员和李小平研究员指导研究生在交磁与铁电领域取得新进展,相关成果以Two-Dimensional Dual-Switchable Ferroelectric Altermagnets: Altering Electrons and Magnons为题发表国际著名期刊Nano Letters。该研究得到了国家自然科学基金项目、内蒙古自然科学基金项目、内蒙古自治区草原英才项目、内蒙古大学骏马计划等资助。

论文链接:https://pubs.acs.org/doi/10.1021/acs.nanolett.5c03483.

 

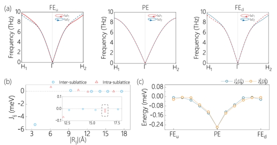
1. 铁电极化同时对磁子和电子的多态调控示意图

 多铁性材料(Multiferroics)因同时具备铁性与磁性,被誉为下一代低功耗自旋电子器件的核心候选。然而,现有多铁材料虽被广泛研究,但其电场调控的物性仍显单一,难以实现对多种自旋相关物性的灵活操控。交错磁体作为新兴的共线反铁磁材料,通过特殊的晶体对称性打破自旋简并,其非相对论性自旋劈裂能带与手性劈裂磁子为自旋电子学提供了全新平台。将铁电性与交错磁性结合,有望实现更丰富的电场调控功能,但铁电性是否可以同步调控电子与磁子以及如何调控等问题未被充分研究和讨论

 本研究首次提出,二维铁电交错磁中铁电极化可以作为开关,同时操控电子和磁子两种自由度:铁电翻转可同时切换电子自旋(能带)劈裂与磁子(自旋波)手性劈裂该研究还揭示了铁电性对磁子手性劈裂的调控源于特征交换相互作用常数对交错磁中磁性原子局域手性的依赖性。该研究不仅实现了二维尺度下对电子-磁子耦合特性的电控调控,更为探索新型多功能自旋电子学与磁子学应用开辟了道路。

2. 二维铁电交错磁体CrPS3 单层中铁电控制自旋劈裂

3. 二维铁电交错磁体CrPS3 单层中铁电控制磁子手性劈裂

 该工作我校2023级博士研究生王帅宇与2024级硕士研究生王微微为论文的共同第一作者,王磊研究员和李小平研究员为该论文的通讯作者,我校为第一完成单位

主要作者简介

王磊,研究员,博士生导师。获国家自然科学基金青年科学基金、内蒙古自然科学基金青年项目、内蒙古草原英才,内蒙古自治区本级引进高层次人才科研支持。至今,在ScienceNature CommunicationsNational Science ReviewNano LettersACS NanoPhysical Review BThe Journal of Physical Chemistry LettersApplied Physics LettersPhysical Review MaterialsJournal of Materials Chemistry C等国际期刊上发表论文30余篇,被引用2100余次,H-index16,其中3篇论文入选ESI高被引论文。目前主要研究方向为电荷密度波材料和超导材料的第一性原理设计和调控,磁性材料的物性与磁性拓电子材料的计算与设计和铁电金属材料计算设计。

李小平,研究员,博士生导师。获国家自然科学基金青年科学基金、国家自然科学基金地区基金项目、内蒙古大学高层次人才引进科研启动项目。至今,在Physical. Review. Letter Science BulletinNano LettersPhysical Review BThe Journal of Physical Chemistry Letters等期刊发表多篇论文。目前主要研究方向为拓扑材料的物态分类和物性探究、三维拓扑半金属及其演生费米子的物性调控、二维材料中的非线性效应研究。

王帅宇,2023级博士研究生,主要从事新型磁性材料的涉及和调控的理论研究。以第一或共同第一作者在Nano LettersPhysical Review BThe Journal of Physical Chemistry C等期刊发表学术论文4篇。

微微2024级硕士研究生,主要从事磁性材料的光学性质的理论研究。以共同第一作者在Nano Letters发表学术论文1篇。